Interferensi celah ganda
Berikut ini adalah pembahasan soal-soal fisika SMA tentang difraksi celah ganda atau interferensi Young.Interferensi celah ganda masuk ke dalam bahasan gelombang cahaya. Jadi materi ini adalah pelajaran kelas XII SMA. Pembahasan ini dapat dijadikan bahan belajar buat siswa atau siswi untuk menghadapi ulangan harian, UTS, UAS, ujian sekolah, ujian nasional dan ujian lainnya. Oke langsung saja dapat disimak pembahasannya dibawah ini. Semoga bermanfaat.
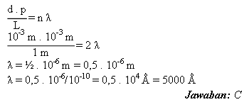
Contoh soal interferensi celah ganda nomor 1
Gambar dibawah menggambarkan percobaan Young.
Jika d adalah jarak antara dua celah, L adalah jarak layar ke celah, dan P2 adalah jarak garis terang kedua dari terang pusat, maka gelombang cahaya yang digunakan adalah...(1 Ǻ = 10-10m)
A. 3000 Ǻ
B. 4000 Ǻ
C. 5000 Ǻ
D. 5500 Ǻ
E. 6000 Ǻ
Pembahasan:
Diketahui:d = 1 mm = 10-3 m
L = 1 m
P2= 1 mm = 10-3 m
n = 2
Ditanya: λ =...
Contoh soal interferensi celah ganda nomor 2
Gambar berikut menggambarkan diagram Young, d adalah jarak antar celah, P2 adalah garis terang orde 2. Jika panjang gelombang yang digunakan adalah 400 nm (1 nm = 10-9 m), maka jarak antar celah adalah...
A. 1,6 . 10-1 mm
B. 1,6 . 10-2 mm
C. 2,0 . 10-2 mm
D. 1,6 . 10-3 mm
E. 2,0 . 10-3 mm
Pembahasan:
Diketahui:
n = 2
θ = 300
λ = 400 nm = 400 . 10-9 m = 4 . 10-7 m
Ditanya: d = ...
Jawab:
d sin θ = n λ
d sin 300 = 2 . 4 . 10-7 m
d . ½ = 8 . 10-7m
d = 16 . 10-7 m = 1,6 . 10-3 mm
Jawaban: D
Ditanya: d = ...
Jawab:
d sin θ = n λ
d sin 300 = 2 . 4 . 10-7 m
d . ½ = 8 . 10-7m
d = 16 . 10-7 m = 1,6 . 10-3 mm
Jawaban: D
Contoh soal interferensi celah ganda nomor 3
Sebuah celah ganda disinari dengan cahaya yang panjang gelombangnya 640 nm. Sebuah layar diletakkan 1,5 m dari celah. Jika jarak kedua celah 0,24 mm maka jarak dua pita terang yang berdekatan adalah....A. 4,0 mm
B. 6,0 mm
C. 8,0 mm
D. 9,0 mm
E. 9,6 mm
Pembahasan:
Diketahui:

Tidak ada komentar:
Posting Komentar