Peluang kejadian
Besarnya kemungkinan terjadinya sebuah kejadian disebut peluang kejadian. Penentuan nilai peluang kejadian didasarkan pada banyak anggota dan banyak anggota ruang sampelnya. Atau secara matematis penentuan nilai peluang suatu kejadian ditulis:PK = nK / nS
Catatan:
Untuk menentukan nK atau nS dapat menggunakan rumus permutasi atau Kombinasi:
Permutasi dipakai jika dalam soal ada istilah jabatan, urutan, rangking, predikat, cara duduk, susunan angka.
Kombinasi dipakai jika dalam soal ditanyakan: banyak himpunan bagian, peluang, urutan diabaikan.
Catatan:
Untuk menentukan nK atau nS dapat menggunakan rumus permutasi atau Kombinasi:
Permutasi dipakai jika dalam soal ada istilah jabatan, urutan, rangking, predikat, cara duduk, susunan angka.
Kombinasi dipakai jika dalam soal ditanyakan: banyak himpunan bagian, peluang, urutan diabaikan.
Nomor 1
Dalam percobaan pelemparan sebuah dadu setimbang, K menyatakan kejadian munculnya mata dadu bilangan genap. Peluang kejadian K adalah...
A. 1/6
B. 1/4
C. 1/3
D. 1/2
E. 1/4
Pembahasan
nK = 3
nS = 6
Sehingga PK = nK / nS = 3/6 = 1/2
Jawaban: D
Nomor 2
Misal kita mempunyai 10 kartu yang bernomor 1 sampai 10. Jika satu kartu diambil secara acak, maka peluang terambil adalah kartu bernomor bilangan prima adalah...
A. 4/5
B. 3/5
C. 1/2
D. 3/10
E. 2/5
Pembahasan
nK = 5
nS = 10
maka PK = nK / nS = 5/10 = 1/2
Jawaban: C
Nomor 3
Seorang siswa memegang kartu remi yang berjumlah 52 buah dan meminta temannya untuk mengambil sebuah kartu secara acak. Peluang terambilnya kartu hati adalah....
A. 1/52
B. 1/13
C. 9 / 52
D. 1/4
E. 1/3
Pembahasan
nK = 13
nS = 52
Jadi PK = nK / nS = 13/52 = 1/4
Jawaban: D
Nomor 4
Pada pelemparan dua dadu setimbang bersamaan. Misal K adalah kejadian muncul jumlah mata dadu = 6. Peluang kejadian K adalah...
A. 8 / 36
B. 7 / 36
C . 6 / 36
D. 5 / 36
E. 4/36
Pembahasan
nK = 5
nS = 36

Jawaban: D
Nomor 5
Pada pelemparan dua dadu setimbang secara bersamaan, misal K adalah kejadian munculnya hasil kali mata dadu = 6. Peluang kejadian K = ...
A. 1/18
B. 1/6
C. 1/4
D. 1/9
E. 5/36
Pembahasan:
nK = 4
nS = 36
Maka PK = nK / nS = 4 / 36 = 1/9
Jawaban: D
Nomor 6
Dalam sebuah kotak terdapat 7 kelereng merah dan 3 kelerang biru. Peluang mengambil 3 kelereng merah sekaligus....
A. 3/10
B. 1/3
C. 7/24
D. 1/4
E. 3/7
Pembahasan
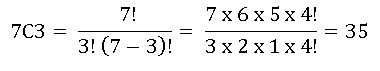
Banyak cara mengambil 3 kelereng merah dari 7 kelereng merah = nK = 7C3.

Banyak cara mengambil 3 kelereng merah dari seluruh kelereng 10 buah = nS = 10C3

Peluang terambil 3 kelereng merah nK.

Jawaban: C
Nomor 7
Dalam sebuah kantong terdapat 7 kelereng merah dn 4 kelereng putih. Akan diambil 4 kelereng sekaligus. Peluang yang terambil 2 kelereng merah dan 2 kelereng putih adalah...
A. 126/330
B. 116/330
C. 63/330
D. 53/330
E. 27/330
Pembahasan
Banyak cara mengambil 2 kelereng merah dari 7 kelereng = 7C2.
7C2 = 7! / (2! . 5!) = 21.
Banyak cara mengambil 2 kelereng putih dari 4 kelereng = 4C2.
4C2 = 4! / (2! . 2!) = 6.
Banyak cara mengambil 2 kelereng merah dan 2 kelereng putih = nK = 7C2 . 4C2 = 21 . 6 = 126.
Banyak cara mengambil 4 kelereng dari seluruh kelereng (11 kelereng) = nS = 11C4.

Peluang terambil 2 kelereng merah dan kelereng putih PK.
PK = 126/330.
Jawaban: A
Nomor 8
Dua dadu dilambungkan bersama-sama. Peluang muncul mata dadu pertama 3 dan mata dadu kedua lima adalah...
A. 6 / 36
B. 5 / 36
C. 4 / 36
D. 3 / 36
E. 1 / 36
Jawaban:
Merupakan peluang kejadian saling lepas:
P(3 dan 5) = P(3) x P(5) = 1/6 x 1/6 = 1 / 36
Nomor 9
Jika sebuah dadu dan sekeping mata uang dilempar undi satu kali bersama, maka peluang untuk memperoleh GAMBAR pada mata uang dan bilangan ganjil pada dadu adalah...
A. 1/12
B. 1/6
C. 1/4
D. 1/3
E. 1/2
Pembahasan
Merupakan peluang saling bebas, maka:
P(gambar dan ganjil) = P(gambar) x P(ganjil) = 1/2 x 3/6 = 3/12 = 1/4
Catatan
P(gambar) = nK / nS = 1/2
P(ganjil) = nK / nS = 3/6
Nomor 10
Dua buah dadu dilempar undi bersama-sama. Peluang muncul jumlah mata dadu 9 atau 10 adalah ...
A. 5 / 36
B. 7 / 36
C. 8 / 36
D. 9 / 36
E. 11 / 36
Pembahasan
Merupakan peluang kejadian saling lepas:
P(9 atau 10) = P(9) + P(10) = 4/36 + 3/36 = 7/36
Keterangan
nS (2 dadu) = 36
nK (9) = (3,6), (6,3), (4,5), (5,4) = 4
nK (10) = (4,6), (6,4), (5,5) = 3
Jadi:
P(9) = nK / nS = 4/36
P(10) = nK / nS = 3/36
Tidak ada komentar:
Posting Komentar